神经网络与深度学习

神经网络与深度学习

收藏豆荚
剥了 3 次
年级:大学
科目:数学
xietao
2025-10-06
6 颗豆豆
1. 单选题
20 秒
<p>图例中是几阶张量&#xff1f;</p>

图例中是几阶张量?

2

3

4

5

2. 单选题
20 秒
<p>图例中输出层有多少神经元、隐藏层层数为&#xff1f;</p>

图例中输出层有多少神经元、隐藏层层数为?

4、4

4、3

2、3

4、2

3. 单选题
20 秒

神经网络三要素是指什么?

神经元、感知层、学习规则

激活函数、拓扑结构、学习规则

输入层、隐藏层、输出层

拓扑结构、神经元、激活函数

4. 单选题
20 秒
<p>图例中是什么激活函数&#xff1f;</p>

图例中是什么激活函数?

tanh

sigmoid

ReLU

SoftMax

5. 单选题
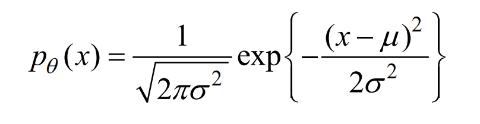
20 秒
<p>在正态分布的概率密度函数中&#xff0c;μ和 <span data-tex="\sigma"> </span>代表样本x的什么&#xff1f;</p>

在正态分布的概率密度函数中,μ和  代表样本x的什么?

方差、绝对值

均值、标准差

向量、均值

均值、协方差

6. 单选题
60 秒
<p>假设神经元A的激活函数是Sigmoid的函数&#xff0c;则A的输出值为&#xff1f;</p>

假设神经元A的激活函数是Sigmoid的函数,则A的输出值为?

1.7

0.9

1.1

0.78

剥豆豆
金牌
会员
无限剥豆豆游戏,更详尽的游戏报告,更多学员的支持
仅需0.6/日
你可能喜欢
Unit 2 Passage A Vocabulary
剥了 4 次
趣味问答
剥了 2 次
测试用
剥了 2 次
第十次例会
剥了 2 次
五种沟通方式
剥了 2 次