二次根式

二次根式

收藏豆荚
剥了 4 次
年级:未设置
科目:数学
大果子
2026-01-08
20 颗豆豆
1. 单选题
30 秒

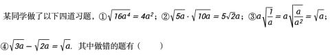
若二次根式 有意义,则实数x的取值范围是(  )

x≥﹣2

x>﹣2

x≥0

x>0 

2. 单选题
30 秒

在实数范围内有意义,则x的取值范围是(  )

x>9

x≥9

x<9

x≤9 

3. 单选题
30 秒

使得式子 有意义的x的取值范围是(  )

x≥4

x>4

x≤4

x<4 

4. 单选题
30 秒

若y= ,求x+y的值(  )

﹣7

﹣5

7

5. 单选题
30 秒

下列计算正确的是(  )

 

 

 

5+ =7

6. 单选题
30 秒

根式 的值为(  )

﹣3

9

3

﹣9

7. 单选题
30 秒

二次根式 的化简结果是(  )

 

 

 

 

8. 单选题
30 秒

下列二次根式化简正确的是(  )

 

 

 

 

9. 单选题
双倍得分
45 秒

二次根式 化成最简结果为(  )

 

 

- 

 

10. 单选题
30 秒

下列运算正确的是(  )

 

 

 

 

11. 单选题
双倍得分
60 秒

1个

2个

3个

4个

12. 单选题
30 秒

下列二次根式中,最简二次根式是(  )

 

 

 

 

13. 单选题
30 秒

下列运算正确的是(  )

 

 

 

 

14. 单选题
30 秒

下列运算正确的是(  )

 

 

 

 

15. 单选题
30 秒

下列运算正确的是(  )

 

 

 

 

16. 单选题
30 秒

下列计算正确的是(  )

 

 

 

 

17. 单选题
30 秒

化简计算 正确的结果是(  )

4

2

2 

 

18. 单选题
30 秒

下列计算正确的是(  )

 

 

 

 

19. 单选题
30 秒

下列运算中正确的是(  )

 

 

2 

 

20. 单选题
30 秒

下列根式中,能与2 合并的是(  )

 

 

 

 

剥豆豆
金牌
会员
无限剥豆豆游戏,更详尽的游戏报告,更多学员的支持
仅需0.6/日
你可能喜欢
大作+年会
剥了 2 次
Day365
剥了 2 次
FITNESS与GOLF
剥了 3 次
PFA赢大奖
剥了 3 次
G8 中国古代史(下)政治史复习
剥了 3 次