摘星班:2指数函数与对数函数前测(12题)

摘星班:2指数函数与对数函数前测(12题)

收藏豆荚
剥了 0 次
年级:未设置
科目:数学
Enid
2025-11-23
12 颗豆豆
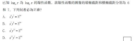
1. 单选题
300 秒

A

B

C

D

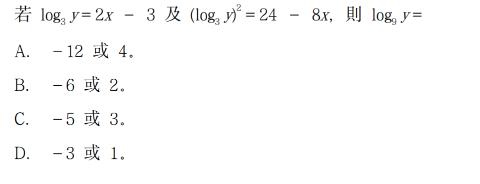
2. 单选题
300 秒

A

B

C

D

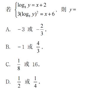
3. 单选题
300 秒

A

B

C

D

4. 单选题
300 秒

A

B

C

D

5. 单选题
300 秒

A

B

C

D

6. 单选题
300 秒

A

B

C

D

7. 单选题
300 秒

A

B

C

D

8. 单选题
300 秒

A

B

C

D

9. 单选题
300 秒

A

B

C

D

10. 单选题
300 秒

A

B

C

D

11. 单选题
300 秒

A

B

C

D

12. 单选题
300 秒

A

B

C

D

剥豆豆
金牌
会员
无限剥豆豆游戏,更详尽的游戏报告,更多学员的支持
仅需0.6/日
你可能喜欢
联大一委破冰游戏
剥了 2 次
唯体十周年线下院校宣讲会-第二轮抽奖
剥了 2 次
唯体十周年线下院校宣讲会-首轮抽奖
剥了 2 次
LAUNCH & LEVEL UP 拼"DUCK"起 赢到底
剥了 9 次
The Ritz-Carlton Wuhan CTQ 2/13
剥了 3 次