ch9-Vector Arithmetic-1-Magnitude-UnitVector-Parallel

ch9-Vector Arithmetic-1-Magnitude-UnitVector-Parallel

收藏豆荚
剥了 1 次
年级:未设置
科目:数学
数学老师
2026-01-05
21 颗豆豆
1. 判断题
30 秒
2. 判断题
30 秒
3. 判断题
30 秒
4. 判断题
30 秒
5. 判断题
30 秒
6. 判断题
30 秒
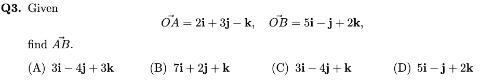
<p>Collinearity &#xff08;共线&#xff09;.  <span data-tex="\vec{OA}&#61;\vec{a},\vec{OB}&#61;\vec{b}"> </span>.  Three points O,A,B are collinear means <span data-tex="\vec{OA}&#61;\lambda\vec{OB}"> </span>, vice versa.</p>

Collinearity (共线). . Three points O,A,B are collinear means , vice versa.

7. 判断题
30 秒
30 秒
<p>Input a, b, c, or d only using small letter, No parenthesis&#34;()&#34;. </p>

Input a, b, c, or d only using small letter, No parenthesis"()".

c
30 秒
b
30 秒
a
30 秒
a
30 秒
b
30 秒
a
30 秒
a
30 秒
a
30 秒
b
30 秒
a
30 秒
9
19. 判断题
30 秒
20. 判断题
30 秒
21. 判断题
30 秒
剥豆豆
金牌
会员
无限剥豆豆游戏,更详尽的游戏报告,更多学员的支持
仅需0.6/日
你可能喜欢
生物期末闯关游戏(二)
剥了 2 次
华为产品知识与销售技巧测验
剥了 2 次
Week 20 PEP vocabulary
剥了 2 次
INDEX 英国名校嘉年华 ----解锁院校特色新机遇
剥了 3 次
HERITAGE
剥了 3 次