豆荚园
会员
使用说明
加入游戏
登 录/注 册
FP1-Ch5-PolarCoordinates
收藏豆荚
剥了 0 次
年级:未设置
科目:数学
数学老师
2025-12-14
22 颗豆豆
1. 判断题
120 秒
对
错
2. 判断题
120 秒
对
错
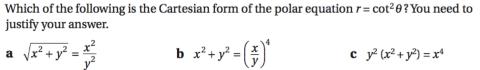
3. 多选题
120 秒
a is always true
b is Never true
c is always true
4. 判断题
120 秒
对
错
5. 判断题
120 秒
对
错
6. 判断题
120 秒
对
错
7. 判断题
120 秒
对
错
8. 判断题
120 秒
对
错
9. 判断题
120 秒
对
错
10. 判断题
120 秒
对
错
11. 单选题
120 秒
12. 判断题
120 秒
对
错
13. 判断题
120 秒
对
错
14. 判断题
120 秒
对
错
15. 判断题
120 秒
对
错
120 秒
Enter c if you think c is correct.
c
120 秒
b
120 秒
b
120 秒
c
120 秒
c
120 秒
b
120 秒
b
剥豆豆
金牌
会员
无限剥豆豆游戏,更详尽的游戏报告,更多学员的支持
仅需
0.6
元
/日
你可能喜欢
😜📱😭
剥了 4 次
高二第一学期期末复习
剥了 2 次
PEP Unit 1-4 (Practice 1)
剥了 2 次
PEP vocabulary + grammar
剥了 3 次
编码知识
剥了 2 次
© 2026 剥豆豆
EduSoho
联系我们
浙ICP备2025189234号