信息科技五年级上册复习

信息科技五年级上册复习

收藏豆荚
剥了 4 次
年级:未设置
科目:信息科技
福尔摩斯练
2026-01-09
29 颗豆豆
1. 单选题
30 秒

(    )一般是指计算机解决问题的方法及其步骤。 

问题

算法

解题

求解

2. 单选题
30 秒

用_______描述算法,就是运用人们生活中的使用的语言来描述解决问题的方法和步骤。 

自然语言  

伪代码  

图形化 

流程图 

3. 单选题
30 秒

以下哪个不是算法的描述方法 

自然语言 

流程图 

伪代码 

方言 

4. 单选题
30 秒

流程图描述算法的特征是哪些 

形象直观 

结构清晰 

逻辑性强 

以上都是 

5. 单选题
30 秒

算法必须在有限时间内完成,即算法能在执行有限步骤之后终止。这是算法的哪一个特征? 

确定性 

有输出    

可行性 

有穷性 

6. 单选题
30 秒

在煮水果茶算法中,以下哪一个描述的方法更准确? 

加水   

加适量水 

加入1.5L水 

加一点水 

7. 单选题
30 秒

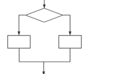
根据一定的条件做出判断,再选择相应的路径的结构,称为 

顺序结构          

分支结构   

循环结构 

组合结构 

8. 单选题
30 秒
<p>它是算法控制结构中的哪一种形式&#xff1f;<span data-tex=""> </span></p>

它是算法控制结构中的哪一种形式? 

顺序结构 

单分支结构  

循环结构 

双分支结构 

9. 单选题
30 秒

你准备一个三明治,首先取出面包,然后涂抹黄油,最后放上火腿片。这个过程是哪种算法结构? 

顺序结构   

单分支结构  

循环结构 

双分支结构 

10. 单选题
30 秒
<p>规模分解是把大问题分解为规模更小的、类似的子问题&#xff1b;行动分解是把大问题分解成一个个可操作的小问题。该问题的分解属于什么分解&#xff1f;<span data-tex=""> </span></p>

规模分解是把大问题分解为规模更小的、类似的子问题;行动分解是把大问题分解成一个个可操作的小问题。该问题的分解属于什么分解? 

行动分解 

规模问题 

不分解 

以上都是 

11. 单选题
30 秒

算法的确定性:算法中的每一步必须是(    )并且能够有效执行,而不能是(     )。 

确定的、模糊不清的  

模糊不清的、确定性 

确定的、确定的 

模糊不清的、模糊不清的 

12. 单选题
30 秒

为了将生活中的真实问题形式化表达,通过抓住解决问题的关键部分,去除次要部分,将复杂的问题简化。例如:把电子元件的状态(     )成数字”1”和”0” 

分解  

抽象  

.建模 

设计 

13. 单选题
45 秒

将日常生活中的复杂问题简化成计算机能处理的问题,这需要对问题进行抽象,抓住解决问题的(       ),去除(      ),将复杂的问题简化。 

关键部分、次要部分 

次要部分、关键部分 

关键部分、关键部分 

次要部分、次要部分 

14. 单选题
45 秒

在求最短距离问题中,用到了多种算法思维,其中一种是将问题分解成类似的小问题进行处理,然后将小问题的解合并为大问题的解。利用这种先_______再________的算法思维,可以优化很多解决问题的方案 

分解;合并 

合并;分解  

分解;分解 

合并;合并 

15. 判断题
30 秒

在绘制流程图时,应按照从左到右、从上到下的顺序绘制,流程线不能交叉或弯曲 

16. 判断题
30 秒

生活中有各种各样的数据,购买电影时输入的时间、影片名称不属于数据。 

17. 判断题
30 秒

用变量来表示数据,可以让解决一个具体问题的算法编程解决一类问题。 

18. 判断题
30 秒

算法必须要有确定的输出,可以产生一个或者多个输出。 

19. 判断题
30 秒

在算法中”=”的作用是赋值,将左边的数值赋值给右边 

20. 判断题
30 秒

在算法中和数学中的“=”的作用是相同的。 

21. 判断题
30 秒

确定关键问题后,我们不需要进一步分析它是否需要再次经历界定问题、分解问题、确定关键问题等所有或部分流程。 

22. 判断题
30 秒

同一道菜肴不同的厨师做出来的口味存在差异,是因为算法不同。 

23. 判断题
45 秒

实景地点的抽象:不必要的细节:各条路线经过的建筑与道路。必要的细节:路线不经过的建筑、校园内的花草树木与其他装饰。 

24. 判断题
30 秒

准确的描述解决问题的算法,有利于理解、交流、验证及优化算法。 

45 秒

算法的执行过程主要是处理数据,_____在算法中起着不可或缺的作用。 

数据
45 秒

变量可以分为变量名和________ 

变量值
120 秒

流程图组成部分完成匹配

开始/结束框

处理框

流程线

输入/输出框

判断框

28. 单选题
45 秒
<p>①处应该选择</p>

①处应该选择

>6

<6

=6

>12

29. 单选题
45 秒
<p>②处应该选择什么&#xff1f;</p>

②处应该选择什么?

<6

=6

print(“免票”)

print(“买票”)

剥豆豆
金牌
会员
无限剥豆豆游戏,更详尽的游戏报告,更多学员的支持
仅需0.6/日
你可能喜欢
504科学五上第二单元复习题1
剥了 3 次
再看我就把你喝掉
剥了 2 次
留学情报局:英国大学“新”知挑战赛
剥了 4 次
科学五上第二单元复习题
剥了 14 次
地球的运动(基础题)
剥了 7 次