FP1-Ch4-MatrixLinearTransformation&Reflection&InvariantP/Line

FP1-Ch4-MatrixLinearTransformation&Reflection&InvariantP/Line

收藏豆荚
剥了 1 次
年级:未设置
科目:数学
数学老师
2026-02-26
20 颗豆豆
30 秒

After a point is transformed, the new point obtained is called the ______ of it.(one word)

image
2. 判断题
30 秒
3. 判断题
30 秒
4. 单选题
30 秒

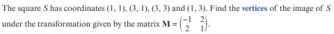
(1,3),(-1,7),(3,9),(5,5)

(1,3),(1,7),(3,9),(5,5)

5. 单选题
30 秒

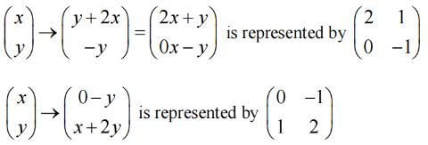
a,b,c and d are all non-linear 

d,e and f are all  linear

d and f are all  linear

a,b,c and d are all linear 

6. 判断题
30 秒
7. 判断题
30 秒
8. 判断题
30 秒
9. 判断题
30 秒
30 秒
<p>fill in one char using A, B, C or D</p>

fill in one char using A, B, C or D

B
B)
b
b)
30 秒
C
30 秒
A
30 秒
B
30 秒
A
30 秒

Points which are mapped onto themselves under a given transformation are called _____ ______.

invariant points
Invariant Points
30 秒

Lines which map onto themselves are called ___ ____ .

invariant lines
30 秒

The only invariant point in the transformation above is the _____, which is always an invariant point of any linear transformation.

origin
(0,0)
original points
18. 判断题
30 秒
30 秒
A
30 秒
D
剥豆豆
金牌
会员
无限剥豆豆游戏,更详尽的游戏报告,更多学员的支持
仅需0.6/日
你可能喜欢
双旗舰考试
剥了 2 次
Brunel University of London(简称布鲁内尔)
剥了 3 次
参与网络社交
剥了 3 次
中青二班趣味答题-必答题
剥了 2 次
五四知识快答
剥了 2 次