4.4.3-输送血液的泵-心脏

4.4.3-输送血液的泵-心脏

收藏豆荚
剥了 5 次
年级:未设置
科目:生物
岁月莫慌
2026-01-02
25 颗豆豆
1. 单选题
300 秒
<p>1.观察哺乳动物的心脏结构&#xff08;如图所示&#xff09;&#xff0c;下列有关叙述错误的是(     )<span data-tex=""> </span></p>

1.观察哺乳动物的心脏结构(如图所示),下列有关叙述错误的是( )

A.血管1、3内流动脉血,2、4内流静脉血

B.血管1是主动脉,与左心室相通

C.当A、C舒张,B、D收缩时,血液由心室流向动脉

D.如果进行灌流实验,从血管1向心脏灌水,水会从血管3流出    

2. 单选题
300 秒
<p>2.如图是心脏的结构图&#xff0c;向这些血管中灌入水&#xff0c;会发生什么现象呢?下列说法中错误的是&#xff08;       &#xff09;<span data-tex=""> </span></p>

2.如图是心脏的结构图,向这些血管中灌入水,会发生什么现象呢?下列说法中错误的是( )

A.向①中灌入水,水将会从③流出

B.向②中灌入水,水将会从②中流出

C.向⑤⑥中灌入水,水将会从②流出

D.向③中灌入水,水将会从①中流出    

3. 单选题
300 秒
<p>3.小秦爸爸的肝脏有些不舒服&#xff0c;服用了保肝药后&#xff0c;症状有了一定的缓解。如图是人体血液循环示意图&#xff0c;下列叙述错误的是&#xff08;       &#xff09;<span data-tex=""> </span></p>

3.小秦爸爸的肝脏有些不舒服,服用了保肝药后,症状有了一定的缓解。如图是人体血液循环示意图,下列叙述错误的是( )

A.该药物到达肝脏需要经过心脏两次

B.血管③和④管壁厚,弹性大,与内部血压高相适应

C.血管④和⑥中流静脉血

D.药物经过肺循环的途径是①→右心室→④→a→⑤    

4. 单选题
300 秒
<p>4.如图为人体内某结构的血液情况模式图&#xff0c;B代表某器官或结构&#xff0c;A、C代表血管&#xff0c;箭头代表血流方向&#xff0c;下列叙述不正确的是&#xff08;       &#xff09;<span data-tex=""> </span></p>

4.如图为人体内某结构的血液情况模式图,B代表某器官或结构,A、C代表血管,箭头代表血流方向,下列叙述不正确的是( )

A.若B为肺,则A中流静脉血,C中流动脉血

B.若A、C都流动脉血,则B代表的一定是肾小球

C.若A为上腔静脉,C为肺动脉,则B中有防止血液倒流的瓣膜

D.若B为小肠,则C中的葡萄糖含量增加    

5. 单选题
300 秒

5.小明扁桃体发炎去医院,医生给他手臂输液治疗。下列叙述正确的是( )

A.输液时用胶皮管捆扎针刺上方,静脉鼓胀便于刺入

B.药物随着血液从心室泵入到动脉时,心室舒张

C.药物进入血液后,要达到病灶部位需要经过心脏1次

D.药物到达肺依次经过:下腔静脉→右心房→右心室→肺动脉→肺部毛细血管     

6. 单选题
300 秒
<p>6.如图为心脏结构示意图&#xff0c;A~D表示心脏四腔&#xff0c;1~5表示血管。下列说法错误的是(     )<span data-tex=""> </span></p>

6.如图为心脏结构示意图,A~D表示心脏四腔,1~5表示血管。下列说法错误的是( )

A.流静脉血的结构有A、B、4、5

B.若扎紧2处,从1处注入水,则水会从4处流出

C.在A和B之间、C和D之间都有防止血液倒流的瓣膜

D.当B、D同时收缩时,B和4之间、D和3之间的瓣膜都打开    

7. 单选题
300 秒
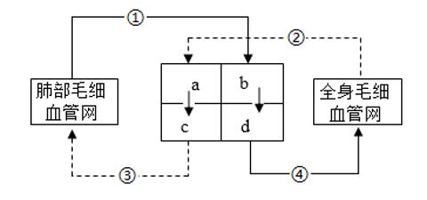
<p>7.如图为人体血液循环简图&#xff0c;其中a&#xff5e;d表示心脏的四个腔&#xff0c;①&#xff5e;④表示血管。下列<span data-tex=""> </span>正确的是&#xff08;       &#xff09;</p>

7.如图为人体血液循环简图,其中a~d表示心脏的四个腔,①~④表示血管。下列 正确的是( )

A.d收缩会将血液由左心室泵至主动脉

B.体循环后,血液由静脉血变成了动脉血

C.a是右心房,是肺循环的起点

D.①为肺静脉,内流静脉血    

8. 单选题
300 秒
<p>8.如图是心脏结构及某时刻工作示意图&#xff0c;下列叙述错误的是(     )<span data-tex=""> </span></p>

8.如图是心脏结构及某时刻工作示意图,下列叙述错误的是( )

A.图示为心室收缩状态

B.图 与心室之间的瓣膜处于关闭状态

C.图中③为左心室

D.与 ④相连的血管内流静脉血  

9. 单选题
300 秒

9.切脉是中医四诊之一,通过按压患者手腕部血管感知脉搏变化,以判断病情。切脉的血管类型及其所属循环途径分别是( )

A.动脉、体循环

B.动脉、肺循环

C.静脉、体循环

D.静脉、肺循环     

10. 单选题
300 秒
<p>10.张大爷最近经常头昏、乏力&#xff0c;到医院做了检查&#xff0c;下表为部分检查结果&#xff0c;则张大爷可能患有(     )<span data-tex=""> </span></p>

10.张大爷最近经常头昏、乏力,到医院做了检查,下表为部分检查结果,则张大爷可能患有( )

A.贫血和炎症

B.炎症和低血压

C.贫血和高血压

D.炎症和高血压    

11. 单选题
300 秒
<p>11.楠楠的爷爷最近身体不适&#xff0c;在医院进行了一次全面检查&#xff0c;以下是爷爷检验报告单的部分数据&#xff0c;你认为楠楠的爷爷可能(     )<span data-tex=""> </span></p>

11.楠楠的爷爷最近身体不适,在医院进行了一次全面检查,以下是爷爷检验报告单的部分数据,你认为楠楠的爷爷可能( )

A.患有贫血和急性炎症

B.血小板数量减少

C.患有急性炎症和高血压

D.患有贫血 高血压   

12. 单选题
300 秒
<p>12.如图是人体血液中某物质含量变化情况&#xff0c;Ⅰ、Ⅱ、Ⅲ、Ⅳ表示血液流经的器官或结构&#xff0c;说法不正确的是(     )<span data-tex=""> </span></p>

12.如图是人体血液中某物质含量变化情况,Ⅰ、Ⅱ、Ⅲ、Ⅳ表示血液流经的器官或结构,说法不正确的是( )

A.若该物质为二氧化碳,则可以Ⅰ表示肾

B.若该物质为葡萄糖,则Ⅲ可以表示小肠

C.若该物质为氧气,则Ⅲ可以表示肺泡

D.若该物质为氧气,则可以Ⅰ表示组织细胞    

13. 单选题
300 秒
<p>13.下图中&#xff0c;图甲X 表示人体某器官。①②表示血管&#xff0c;箭头表示血流方向&#xff0c;图乙表示血管①②中血液的气体含量。下列判断错误的是&#xff08;       &#xff09;<span data-tex=""> </span></p>

13.下图中,图甲X 表示人体某器官。①②表示血管,箭头表示血流方向,图乙表示血管①②中血液的气体含量。下列判断错误的是( )

A.血管①为肺动脉

B.血管②为上、下腔静脉

C.血管②内流动脉血

D.X 表示肺    

14. 单选题
300 秒
<p>14.如图是人体的血液循环示意图&#xff0c;①②表示两处发生气体交换的场所。下列有关叙述正确的是(     )<span data-tex=""> </span></p>

14.如图是人体的血液循环示意图,①②表示两处发生气体交换的场所。下列有关叙述正确的是( )

A.当血液流经②时,静脉血变动脉血

B.当血液流经①时,血液由鲜红色变成暗红色

C.图中实线表示肺循环途径

D.通过毛细血管可以实现①②处的气体交换    

15. 单选题
300 秒
<p>15.如图为人体血液循环示意图&#xff08;①②③④代表心脏四个腔&#xff0c;⑤⑥⑦⑧代表血管&#xff09;&#xff0c;下列叙述正确的是(     )<span data-tex=""> </span></p>

15.如图为人体血液循环示意图(①②③④代表心脏四个腔,⑤⑥⑦⑧代表血管),下列叙述正确的是( )

A.⑤是下腔静脉,其内流静脉血 

B.⑦是肺动脉,流动脉血;⑧是肺静脉,流静脉血

C.血液流经全身毛细血管后,由静脉血变为动脉血

D.肺循环路径是④→⑧→肺部毛细血管→⑦→①   

16. 单选题
300 秒
<p>16.下图中&#xff0c;①和③表示血管&#xff1b;②表示某结构&#xff0c;箭头表示血液流动方向。下列分析正确的是(     )<span data-tex=""> </span></p>

16.下图中,①和③表示血管;②表示某结构,箭头表示血液流动方向。下列分析正确的是( )

A.若②为肾小球,则①、③中分别流动脉血、静脉血 

B.若②为心脏,则输液时针刺血管的类型与①相同 

C.若②为脑,③处流动脉血

D.若②为小肠,则与①相比,③内血液中的营养物质减少  

17. 单选题
300 秒
<p>17.如图表示身体内某部位的血管示意图&#xff0c;箭头表示血流方向。下列分析中错误的是(     )<span data-tex=""> </span></p>

17.如图表示身体内某部位的血管示意图,箭头表示血流方向。下列分析中错误的是( )

A.同级的a与c相比,a的管壁更厚

B.血管a为动脉,内部的血液为动脉血

C.三类血管中,b血管最适于进行物质交换

D.若该部位是大脑,则c中营养物质比a 中少    

18. 单选题
300 秒
<p>18.下图是人体内气体交换过程模式图&#xff0c;c、d为气体。下列有关该模式图的解释&#xff0c;不正确的是&#xff08;       &#xff09;<span data-tex=""> </span></p>

18.下图是人体内气体交换过程模式图,c、d为气体。下列有关该模式图的解释,不正确的是( )

A.若M表示肺泡,则c为二氧化碳,d为氧气

B.若M表示肺泡,则氧气含量:血管a<血管b

C.若M表示骨骼肌,c主要在线粒体处生成

D.若M表示骨骼肌,则血管b中的血液呈暗红色    

19. 单选题
300 秒
<p>19.如图为肺循环部分示意图&#xff0c;下列说法正确的是(     )<span data-tex=""> </span></p>

19.如图为肺循环部分示意图,下列说法正确的是( )

A.①为二氧化碳,②为氧气

B.甲是肺动脉,其内流的是动脉血

C.乙是肺静脉,其内流的是动脉血

D.与乙相连的是心脏的右心房    

20. 单选题
300 秒

20.《黄帝内经》中记载:“经脉流行不止,环周不休。”意为血液在身体内是循环流动的。下列关于血液循环的说法错误的是( )

A.与左心室相连的主动脉中流的是动脉血

B.动脉血经过体循环后变为静脉血

C.血液循环时,先进行肺循环后进行体循环

D.心脏将体循环和肺循环连成完整的循环途径 

21. 单选题
300 秒
<p>21.下图表示血液循环模型&#xff0c;图中A表示某器官&#xff0c;M、N表示血管&#xff0c;箭头表示血液流动方向。下列叙述中正确的是(     )<span data-tex=""> </span></p>

21.下图表示血液循环模型,图中A表示某器官,M、N表示血管,箭头表示血液流动方向。下列叙述中正确的是( )

A.血管M连接心脏的心房

B.血管M中流动的一定是动脉血

C.若A是肺,则N中二氧化碳增多   

D.若A是脑,则N 中流静脉血

22. 单选题
300 秒
<p>22.《黄帝内经》谈到“心主身之血脉&#xff0c;脉者&#xff0c;血之府也&#xff0c;经脉流行不止&#xff0c;环周不休”。这是关于心脏、血管和血液之间关系的早期描述。如图是血液循环示意图&#xff0c;当血液流经毛细血管网甲时&#xff0c;血液发生的变化是(     )<span data-tex=""> </span></p>

22.《黄帝内经》谈到“心主身之血脉,脉者,血之府也,经脉流行不止,环周不休”。这是关于心脏、血管和血液之间关系的早期描述。如图是血液循环示意图,当血液流经毛细血管网甲时,血液发生的变化是( )

A.由静脉血变为动脉血

B.由动脉血变为静脉血

C.不变,仍是动脉血

D.血液由鲜红色变为暗红色    

23. 单选题
300 秒
<p>23.吸烟不仅会对人体的呼吸系统造成损伤&#xff0c;而且会影响人体的循环系统。如图所示&#xff0c;下列说法正确的是&#xff08;       &#xff09;<span data-tex=""> </span></p>

23.吸烟不仅会对人体的呼吸系统造成损伤,而且会影响人体的循环系统。如图所示,下列说法正确的是( )

A.在吸气过程中,膈肌、肋间肌均处于舒张状态

B.血液由M流至N,静脉血变成动脉血

C.氧气从肺泡进入血液后,主要与红细胞中的血红蛋白结合

D.血液循环是先经过4→6→1再经过2→5→3的循环路径    

24. 单选题
300 秒
<p>24.如图是人体心脏结构示意图&#xff0c;①~④是心脏的四个腔。下列叙述正确的是&#xff08;       &#xff09;<span data-tex=""> </span></p>

24.如图是人体心脏结构示意图,①~④是心脏的四个腔。下列叙述正确的是( )

A.②中流的是动脉血

B.与③相连接的血管是肺动脉  

C.③④之间、①②之间是相通的 

D.动脉中有动脉瓣,静脉中有静脉瓣,可以防止血液倒流 

25. 单选题
300 秒
<p>25.如图为人体呼吸过程示意图&#xff0c;下列叙述错误的是&#xff08;       &#xff09;<span data-tex=""> </span></p>

25.如图为人体呼吸过程示意图,下列叙述错误的是( )

A.过程①表示肺与外界的气体交换

B.过程②后,血液由静脉血变为动脉血 

C.过程③中携带氧气的主要是红细胞

D.过程④通过气体的呼吸运动实现    

剥豆豆
金牌
会员
无限剥豆豆游戏,更详尽的游戏报告,更多学员的支持
仅需0.6/日
你可能喜欢
生物期末闯关游戏(二)
剥了 2 次
小小闯关,拿下
剥了 2 次
华为产品知识与销售技巧测验
剥了 2 次
2026DPU珠海年会
剥了 2 次
Week 20 PEP vocabulary
剥了 2 次