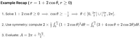
fp1-5.3-AreaOfPolarGraph-test-0

fp1-5.3-AreaOfPolarGraph-test-0

收藏豆荚
剥了 1 次
年级:未设置
科目:数学
数学老师
2026-01-08
13 颗豆豆
1. 判断题
30 秒
2. 多选题
30 秒
3. 多选题
30 秒

In CIE Further Math course, when sketch polar curves , we should note

4. 判断题
30 秒
30 秒
<p>enter a,b,c or d.</p>

enter a,b,c or d.

b
30 秒
a
30 秒
b
30 秒
b
30 秒
b
10. 判断题
30 秒
11. 判断题
30 秒
12. 单选题
30 秒
<p>For any positive integer n,</p>

For any positive integer n,

 

 

 

 

 

 

13. 判断题
30 秒
剥豆豆
金牌
会员
无限剥豆豆游戏,更详尽的游戏报告,更多学员的支持
仅需0.6/日
你可能喜欢
华为产品知识与销售技巧测验
剥了 2 次
INDEX 英国名校嘉年华 ----解锁院校特色新机遇
剥了 3 次
HERITAGE
剥了 3 次
古典期末テスト前復習
剥了 3 次
5.3 人工智能对社会的影响
剥了 16 次