ch9-vector-Dot/Scalar Product

ch9-vector-Dot/Scalar Product

收藏豆荚
剥了 2 次
年级:未设置
科目:数学
数学老师
2026-01-03
15 颗豆豆
1. 判断题
30 秒
2. 判断题
60 秒
3. 判断题
30 秒

For non zero vectors, = 0 means they are parallel

4. 判断题
30 秒

For non zero vectors, = 0 means they are perpendicular ( ).

5. 判断题
30 秒
45 秒
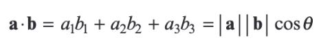
<p>The formula is useful when we are to find _______ between the two vectors.</p>

The formula is useful when we are to find _______ between the two vectors.

angle
the angle
180 秒
<p>The angle, θ, between the two vectors is _____degrees</p>

The angle, θ, between the two vectors is _____degrees

45
180 秒
<p>Find angle OBA&#61;_______degrees, 1dp</p>

Find angle OBA=_______degrees, 1dp

32.3
180 秒
3
180 秒
<p>&#61;_____degrees. 1dp</p>

=_____degrees. 1dp

97.4
11. 判断题
30 秒

has no meaning.

12. 单选题
300 秒

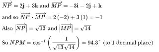
NPM=94.3 rad

300 秒
<p><span data-tex="\theta&#61;\underline{ }"> </span>_____°</p>

_____°

58.6
300 秒
<p>&#61;_______degrees. 1dp</p>

=_______degrees. 1dp

54.7
15. 判断题
180 秒
剥豆豆
金牌
会员
无限剥豆豆游戏,更详尽的游戏报告,更多学员的支持
仅需0.6/日
你可能喜欢
华为产品知识与销售技巧测验
剥了 2 次
INDEX 英国名校嘉年华 ----解锁院校特色新机遇
剥了 3 次
HERITAGE
剥了 3 次
古典期末テスト前復習
剥了 3 次
5.3 人工智能对社会的影响
剥了 16 次