豆荚园
会员
使用说明
加入游戏
登 录/注 册
摘星班:2指数函数及对数函数后测(8题)
收藏豆荚
剥了 0 次
年级:未设置
科目:数学
Enid
2025-11-23
9 颗豆豆
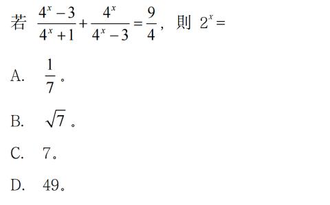
1. 单选题
300 秒
A
B
C
D
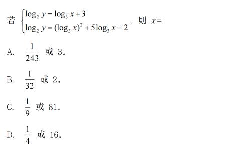
2. 单选题
300 秒
A
B
C
D
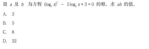
3. 单选题
300 秒
A
B
C
D
4. 单选题
300 秒
A
B
C
D
5. 单选题
300 秒
A
B
C
D
6. 单选题
300 秒
A
B
C
D
7. 单选题
300 秒
A
B
C
D
8. 单选题
300 秒
A
B
C
D
9. 单选题
300 秒
A
B
C
D
剥豆豆
金牌
会员
无限剥豆豆游戏,更详尽的游戏报告,更多学员的支持
仅需
0.6
元
/日
你可能喜欢
W7 运营相关 周二 2.10 出题:千晓
剥了 3 次
Pinyin 拼音 3
剥了 2 次
联大一委破冰游戏
剥了 2 次
唯体十周年线下院校宣讲会-第二轮抽奖
剥了 2 次
唯体十周年线下院校宣讲会-首轮抽奖
剥了 2 次
© 2026 剥豆豆
EduSoho
联系我们
浙ICP备2025189234号