7年级有理数计算(预赛)

7年级有理数计算(预赛)

收藏豆荚
剥了 1 次
年级:未设置
科目:数学
用户_tv0S9h
2025-10-14
10 颗豆豆
20 秒
<p>请输入得数</p>

请输入得数

-9
45 秒
<p>请输入得数</p>

请输入得数

-71
60 秒
<p>请输入得数</p>

请输入得数

-303
90 秒
<p>请输入得数</p>

请输入得数

-20
90 秒
<p>请输入得数</p>

请输入得数

-36
120 秒
<p>请输入得数</p>

请输入得数

29
180 秒
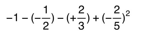
<p>请输入得数&#xff0c;写成xxx/xxx形式</p>

请输入得数,写成xxx/xxx形式

-151/150
180 秒
-4
180 秒
<p>请输入得数</p>

请输入得数

-80
180 秒
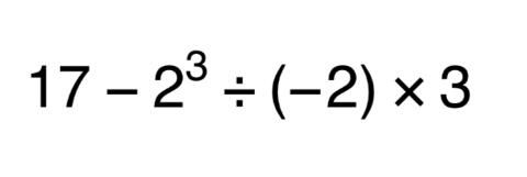
<p>请输入得数</p>

请输入得数

-9116
剥豆豆
金牌
会员
无限剥豆豆游戏,更详尽的游戏报告,更多学员的支持
仅需0.6/日
你可能喜欢
SK 26Q1产品测评
剥了 2 次
The Way We Live Now
剥了 2 次
练习三
剥了 2 次
管理学期末复习
剥了 2 次
Vocabulary Mastery: Definitions, Usage and Spelling
剥了 2 次