神经网络与深度学习复习

神经网络与深度学习复习

收藏豆荚
剥了 2 次
年级:大学
科目:数学
xietao
2025-11-09
23 颗豆豆
1. 单选题
30 秒

RNN主要用于处理什么数据?

静态数据

图像数据

序列数据

多维数据

2. 单选题
30 秒
<p>图中7*7的图片输入&#xff0c;以下步长参数(S)中哪个需要补零操作&#xff08;P&#xff09;</p>

图中7*7的图片输入,以下步长参数(S)中哪个需要补零操作(P)

1

2

3

4

3. 单选题
30 秒

设输入图片大小W*H*D,步长参数1,补零参数3,则输入图片W参数变为?

W+6

W+3

W+3-1

W+6-1

4. 单选题
30 秒

输入图像: 32x32x3 8个 5x5x3 滤波器,步长 1, 补零3 输出为? 

31

32

34

35

5. 单选题
30 秒

输入图像: 32x32x3 21个 5x5x3 滤波器 步长1, 补零2 这一层有多少参数? 

760

1575

1596

750

6. 单选题
30 秒
<p>最大池化函数&#xff08;Maxpooling&#xff09;的结果是</p>

最大池化函数(Maxpooling)的结果是

1,2,3,1

5,7,3,4

6,8,3,4

6,8,2,1

7. 单选题
30 秒

CNN过程不包括

卷积层

池化层

全连接层

线性层

8. 单选题
30 秒

下列哪个网络的输入和特征做差后获取输出?

ResNet

VGGNet

AlexNet

LeNet

9. 单选题
30 秒
<p>图中深度神经网络的输入层神经元个数、隐藏层数量是&#xff1f;</p>

图中深度神经网络的输入层神经元个数、隐藏层数量是?

4、3

4、4

2、4

3、5

10. 单选题
30 秒

下图中属于ReLU激活函数的是?

11. 单选题
60 秒
<p>假如神经元的激活函数是Sigmoid&#xff0c;A的输出值是多少&#xff1f;</p>

假如神经元的激活函数是Sigmoid,A的输出值是多少?

1.166

0.91

0.76

0.48

12. 单选题
30 秒

如何衡量一个BP神经网络的映射性能?

损失函数

预测函数

方差函数

激活函数

13. 单选题
30 秒
<p>该公式的作用是&#xff1f;</p>

该公式的作用是?

反向更新偏置

计算学习率

梯度下降函数

更新网络权值

14. 单选题
30 秒
<p>对于图示网络&#xff0c;计算∂z∕∂w_1</p>

对于图示网络,计算∂z∕∂w_1

b

x1

x2

w2

15. 单选题
60 秒
<p>如何通过链式法则求出损失函数l对a的偏导数&#xff1f;</p>

如何通过链式法则求出损失函数l对a的偏导数?

l对z'偏导✖z‘对a的偏导

l对z'’偏导✖z‘‘对w4的偏导

l对z'偏导✖z‘对a的偏导+l对z'’偏导✖z‘‘对a的偏导

l对z'偏导✖z‘对w3的偏导+l对z'’偏导✖z‘‘对w4的偏导

16. 单选题
30 秒

调节过拟合的方法不包括

增加训练样本

增加隐藏层数量

权重衰减

神经元随机失活

17. 单选题
30 秒

下图中属于ReLU激活函数的是?

18. 单选题
20 秒
<p>图例中输出层有多少神经元、隐藏层层数为&#xff1f;</p>

图例中输出层有多少神经元、隐藏层层数为?

4、4

4、3

2、3

4、2

19. 单选题
20 秒
<p>图例中是什么激活函数&#xff1f;</p>

图例中是什么激活函数?

tanh

sigmoid

ReLU

SoftMax

20. 单选题
60 秒
<p>假设神经元A的激活函数是Sigmoid的函数&#xff0c;则A的输出值为&#xff1f;</p>

假设神经元A的激活函数是Sigmoid的函数,则A的输出值为?

1.7

0.9

1.1

0.78

21. 单选题
30 秒

多层感知器(MLP)的说法不正确的是?

一种前馈人工神经网络

由输入层、隐藏层和输出层组成

将输入数据映射到正确的输出

和BP网络一样采用误差反传方式训练

22. 单选题
45 秒
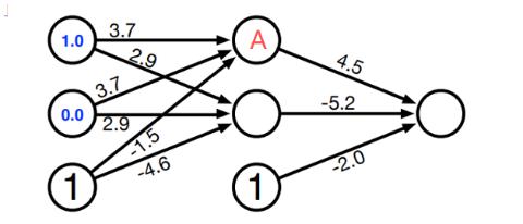
<p>图示中A的值是多少&#xff1f;</p>

图示中A的值是多少?

0.15

0.2

0.12

0.08

23. 单选题
30 秒

轴突、树突和树突末梢的功能是?

接收信号、传递信号和释放信号

释放信号、传递信号和接收信号

接收信号、释放信号和传递信号

传递信号、接收信号和释放信号

剥豆豆
金牌
会员
无限剥豆豆游戏,更详尽的游戏报告,更多学员的支持
仅需0.6/日
你可能喜欢
联大一委破冰游戏
剥了 2 次
唯体十周年线下院校宣讲会-第二轮抽奖
剥了 2 次
唯体十周年线下院校宣讲会-首轮抽奖
剥了 2 次
LAUNCH & LEVEL UP 拼"DUCK"起 赢到底
剥了 9 次
The Ritz-Carlton Wuhan CTQ 2/13
剥了 3 次