P3-Vectors-ReviewTest 1

P3-Vectors-ReviewTest 1

收藏豆荚
剥了 0 次
年级:未设置
科目:数学
数学老师
2025-07-05
10 颗豆豆
1. 单选题
90 秒

Points A and B have position vectors = (2,1,0) and = (1,3,2). Find a unit vector parallel to .

 

 

 

 

2. 单选题
90 秒

 

 

 

 

3. 单选题
60 秒

 

-1

0

1

2

4. 单选题
90 秒

 

 

 

 

 

5. 单选题
60 秒

 

(3,0,2.5)

(-3,-4,1)

6. 单选题
90 秒

  

 

No, ration 1 : 2

 

7. 单选题
60 秒

 

a+b=0

 

 

ab=0

8. 单选题
90 秒

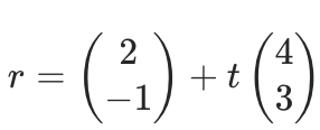
For the line through (2, - 1) with gradient  , find its vector equation

 

9. 单选题
180 秒

 

 

 

 

10. 单选题
300 秒

 

 

 

 

 

剥豆豆
金牌
会员
无限剥豆豆游戏,更详尽的游戏报告,更多学员的支持
仅需0.6/日
你可能喜欢
生物期末闯关游戏(二)
剥了 2 次
小小闯关,拿下
剥了 2 次
华为产品知识与销售技巧测验
剥了 2 次
2026DPU珠海年会
剥了 2 次
Week 20 PEP vocabulary
剥了 2 次