双代号网络图绘制1

双代号网络图绘制1

收藏豆荚
剥了 2 次
年级:大学
科目:职业发展
风清颖
2025-05-07
4 颗豆豆
1. 单选题
15 秒

关于双代号网络图构成说法正确的是( ) 

工作线路 

工作和节点 

节点和线路 

节点、工作和线路 

2. 单选题
20 秒
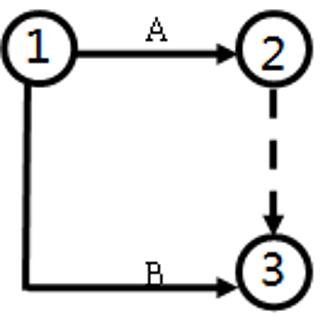
<p>左图双代号网络图中&#xff0c;引入虚工作2—3是为了表示 &#xff08; &#xff09;</p>

左图双代号网络图中,引入虚工作2—3是为了表示 ( )

对A、B两项工作的代号加以区分 

A、B两项工作不能同时结束 

A、B两项工作必须同时结束 

工作A完成后、工作B才能开始 

3. 多选题
双倍得分
30 秒
<p>设有A、B、C、D、E五项工作&#xff0c;其逻辑关系为A、B完成后进行D&#xff1b;B、C完成后进行E。依据逻辑关系绘制的双代号网络图如下所示&#xff0c;该网络图存在错误是 &#xff08;  &#xff09;</p>

设有A、B、C、D、E五项工作,其逻辑关系为A、B完成后进行D;B、C完成后进行E。依据逻辑关系绘制的双代号网络图如下所示,该网络图存在错误是 (  )

逻辑关系表达错误 

节点编号错误 

有多余的虚工作 

有多个终点节点 

B、C的代号相同 

4. 多选题
双倍得分
30 秒

双代号网络图的绘制规则有 (  )

正确表达已定的逻辑关系 

不允许出现双箭头的箭线 

不允许出现多个起点节点 

不允许间断编号 

不允许出现循环回路 

剥豆豆
金牌
会员
无限剥豆豆游戏,更详尽的游戏报告,更多学员的支持
仅需0.6/日
你可能喜欢
“艺湛笃行 技高致远” 科目二随堂PK
剥了 2 次
“艺湛笃行 技高致远” 科目一随堂测试
剥了 2 次
A+
剥了 2 次
数字贸易与全球化
剥了 3 次
田园小帮手-智能机器狗
剥了 3 次