管理运筹学

管理运筹学

收藏豆荚
剥了 0 次
年级:大学
科目:数学
1123
2024-12-26
8 颗豆豆
1. 单选题
120 秒
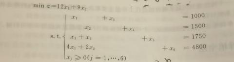
<p>对于图中的线性规划模型&#xff0c;下列向量组成的矩阵中不构成可行基的有&#xff08;&#xff09;</p>

对于图中的线性规划模型,下列向量组成的矩阵中不构成可行基的有()

(P2, P3, P4, P5)

(P2, P4, P5, P6)

(P1, P2, P5, P6)

(P1, P4, P5, P6)

2. 单选题
30 秒

线性规划可行域的顶点对应的解为()

基解

最优解

基可行解

可行解 

3. 单选题
30 秒

用图解法求解线性规划时,下列选项中正确的是()

用于表示两个变量的坐标轴的单位长度必须一致

如果存在可行域,坐标原点一定包含在可行域内

如果存在最优解,最优解一定是可行域的某个顶点

以上说法均不正确或不确切

4. 判断题
30 秒

图解法与单纯形法虽然求解的形式不同,但从几何上理解,二者是一致的

5. 判断题
30 秒

线性规划模型中增加一个约束条件,可行域的范围一般将缩小;减少一个约束条件,可行域的范围一般将扩大。

6. 判断题
30 秒

线性规划问题的每一个基解对应可行域的一个顶点。

7. 判断题
30 秒

单纯形法中,如果不按照最小比值原则选取换出变量,则在下一个解中至少有一个基变量的值为负。

8. 判断题
30 秒

用单纯形法求解标准型的线性规划问题时,与检验数>0对应的变量都可以选作换入变量。

剥豆豆
金牌
会员
无限剥豆豆游戏,更详尽的游戏报告,更多学员的支持
仅需0.6/日
你可能喜欢
SK 26Q1产品测评
剥了 2 次
The Way We Live Now
剥了 2 次
练习三
剥了 2 次
管理学期末复习
剥了 2 次
Vocabulary Mastery: Definitions, Usage and Spelling
剥了 2 次