力学复习(一)

力学复习(一)

收藏豆荚
剥了 2 次
年级:未设置
科目:未设置
Double
2022-06-10
16 颗豆豆
1. 单选题
20 秒
力系中各力作用线既不汇交于一点,又不完全相互平行的平面力系称为(       )
平面汇交力系
平面力偶系
平面一般力系
平面平行力系
2. 单选题
20 秒
下图属于什么约束类型?
下图属于什么约束类型?
可动铰支座
固定端支座
固定铰支座
链杆约束
3. 单选题
20 秒
下图属于什么约束类型?
下图属于什么约束类型?
固定端支座
固定铰支座
光滑接触面约束
可动铰支座
4. 单选题
20 秒
下图属于什么约束类型?
下图属于什么约束类型?
固定端支座
固定铰支座
链杆约束
可动铰支座
5. 单选题
20 秒
画受力图的第一步是什么?
选取研究对象
取隔离体
画主动力
画约束反力
6. 单选题
20 秒
画物体系统的整体受力图时,内力不必画出。
正确
错误
7. 单选题
30 秒
作用在同一个刚体上的两个力F1F2,满足F1=-F2的条件,则该二力可能是(      )
作用力和反作用力或一对平衡的力
一对平衡的力或一个力偶
一对平衡的力或一个力和一个力偶
作用力和反作用力或一个力偶
8. 单选题
30 秒
对于刚体来说,力的三要素可改为力的大小、方向和作用线,依据的是哪一个公理?
平行四边形公理
二力平衡公理
加减平衡力系公理
作用与反作用公理
9. 单选题
20 秒
合力一定比分力大。
正确
错误
10. 单选题
20 秒
工程中要保证结构有足够的承载能力才能保证质量安全,承载能力不包括(        )
强度
刚度
稳定性
硬度
11. 单选题
10 秒
当力与坐标轴垂直时,力在该坐标轴上的投影为零。
正确
错误
12. 单选题
10 秒
平面汇交力系合成的结果是一个合力。
正确
错误
13. 单选题
10 秒
平面汇交力系平衡的必要和充分条件是该力系的合力等于零。
正确
错误
14. 单选题
20 秒
任意个汇交力的合成,优先应用的法则是什么?
平行四边形法则
三角形法则
多边形法则
15. 单选题
20 秒
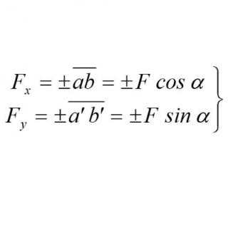
投影计算式如图所示,其中α指的是(     )
投影计算式如图所示,其中α指的是(     )
与X轴的夹角
与X轴所夹的锐角
与Y轴所夹的锐角
与Y轴的夹角
16. 单选题
20 秒
力的投影只有大小和正负,是标量;而力的分力为矢量,有大小、方向。
正确
错误
剥豆豆
金牌
会员
无限剥豆豆游戏,更详尽的游戏报告,更多学员的支持
仅需0.6/日
你可能喜欢
互联网信息加密
剥了 2 次
It's time to... / It's time for...
剥了 2 次
第18课_练习题_排序计算有方法
剥了 3 次
反馈的实现
剥了 3 次
AI判官(官鹅藏族小学)
剥了 5 次