豆荚园
会员
使用说明
加入游戏
登 录/注 册
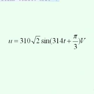
正弦交流电的三要素
收藏豆荚
剥了 11 次
年级:未设置
科目:未设置
ZYOUNG
2018-04-08
5 颗豆豆
1. 单选题
20 秒
此正弦量的最大值是
310
310√2
60度
30度
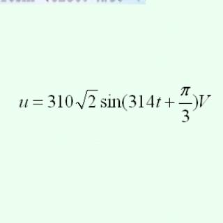
2. 单选题
30 秒
此正弦量的频率是
50
314
310
60度
3. 单选题
20 秒
此正弦量的角频率是
314
60度
30度
310
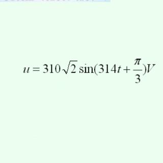
4. 单选题
20 秒
此正弦量的初相位是
30度
60度
314
310
5. 单选题
20 秒
此正弦量的有效值是
310
310√2
314
314√2
剥豆豆
金牌
会员
无限剥豆豆游戏,更详尽的游戏报告,更多学员的支持
仅需
0.6
元
/日
你可能喜欢
联大一委破冰游戏
剥了 2 次
唯体十周年线下院校宣讲会-第二轮抽奖
剥了 2 次
唯体十周年线下院校宣讲会-首轮抽奖
剥了 2 次
LAUNCH & LEVEL UP 拼"DUCK"起 赢到底
剥了 9 次
The Ritz-Carlton Wuhan CTQ 2/13
剥了 3 次
© 2026 剥豆豆
EduSoho
联系我们
浙ICP备2025189234号